Last modified: 24 Nov 2025

URL: https://cxc.cfa.harvard.edu/sherpa/threads/pileup/

Using A Pileup Model

Sherpa Threads (CIAO 4.18 Sherpa)


Overview

Synopsis:

This thread describes how to include a pileup model in the model expression when fitting data in Sherpa. The Background Information section contains information on how the data should be processed in order to run this thread.

Related Links:

Last Update: 24 Nov 2025 - updated for CIAO 4.18, model fits and figures revised.


Contents


Background Information

Experience with the jdpileup model has chiefly been for on-axis point sources, and in this thread, this condition is assumed. Even when analyzing piled data from a point-source, keep in mind that events in the core of the Point Spread Function (PSF) may be severely piled up while events in the PSF wings may be essentially unpiled; therefore, in general the fraction of the measuring aperture deemed to be piled up (f model parameter) is less than 1.

The standard procedure for jdpileup is:

  1. Reprocess the data and apply the standard event filtering to create a level=2 event file; this is illustrated in the Create a New Level=2 Event File thread.

  2. Extract a source spectrum from a circular region, usually about 2 arcsec in radius (e.g. by following the Extract Spectrum and Response Files for a Pointlike Source).

  3. Use the pileup model in Sherpa to fit a spectral model.

For a detailed discussion of the model, see Davis (2001).

[NOTE]
Remove the acis_detect_afterglow Correction

An afterglow is the residual charge from the interaction of a cosmic ray in a CCD. Standard data processing (SDP, aka "the pipeline") uses the acis_detect_afterglow tool to flag possible cosmic ray events in the level 1 event file; these are then filtered out in the level 2 event file. It has been determined, however, that 3–5% of the valid source photons may be rejected from diffracted spectra. These rejections, though a small fraction of the total events, are systematic and non-uniform.

In order to accurately model the pileup, it is necessary to remove this correction so that no source photons are eliminated from the event file. Read the Pileup Talk for more information, in particular Data Preparation and Caveats. The Remove the acis_detect_afterglow correction thread shows how to undo the afterglow filtering.

Important Note

A more precise method for identifying afterglow events was introduced to SDP at version DS 7.4.0 (2004 November 30). If your data was processed with DS 7.4.0 or later, acis_detect_afterglow was not run in the pipeline. The new hot pixel tools are more judicious with respect to throwing away piled source events. Users should be able to analyze the data without having to unfilter events first.

The Get Started section of the Remove the acis_detect_afterglow correction thread shows how to check the processing version used for your data.


Getting Started

Download the sample data: 1618 (ACIS-S, NGC 4258)

The files used in this example were created by following these CIAO threads:

Here is a list of all the necessary files:

source_bin10.pi
background.pi
arf.fits
rmf.fits

The data files are available in sherpa.tar.gz, as explained in the Sherpa Getting Started thread.


Reading in Data & Instrument Responses

The spectra that will be used in this session have already been binned by a factor of 10. The data set is input to Sherpa with the load_pha command:

sherpa> load_pha("source_bin10.pi") 
WARNING: systematic errors were not found in file 'source_bin10.pi'
statistical errors were found in file 'source_bin10.pi' 
but not used; to use them, re-read with use_errors=True
read ARF file arf.fits
read RMF file rmf.fits
WARNING: systematic errors were not found in file 'background.pi'
statistical errors were found in file 'background.pi' 
but not used; to use them, re-read with use_errors=True
read background file background.pi

Since the response files are defined in the header of source_bin10.pi, the instrument response is automatically established for use:

sherpa> show_all()

Data Set: 1
Filter: 0.0015-14.9504 Energy (keV)
Bkg Scale: 0.0484
Noticed Channels: 1-1024
name           = source_bin10.pi
channel        = Float64[1024]
counts         = Float64[1024]
staterror      = None
syserror       = None
grouping       = Int16[1024]
quality        = Int16[1024]
exposure       = 20651.149034509
backscal       = 8.2267382518748e-07
areascal       = 1.0
grouped        = True
subtracted     = False
units          = energy
rate           = True
plot_fac       = 0
response_ids   = [1]
background_ids = [1]

RMF Data Set: 1:1
name     = rmf.fits
energ_lo = Float64[1077]
energ_hi = Float64[1077]
n_grp    = UInt64[1077]
f_chan   = UInt64[1500]
n_chan   = UInt64[1500]
matrix   = Float64[440721]
e_min    = Float64[1024]
e_max    = Float64[1024]
detchans = 1024
offset   = 1
ethresh  = 1e-10

ARF Data Set: 1:1
name     = arf.fits
energ_lo = Float64[1077]
energ_hi = Float64[1077]
specresp = Float64[1077]
exposure = 20650.705998778
ethresh  = 1e-10

Background Data Set: 1:1
Filter: 0.0015-14.9504 Energy (keV)
Noticed Channels: 1-1024
name           = background.pi
channel        = Float64[1024]
counts         = Float64[1024]
staterror      = None
syserror       = None
grouping       = Int16[1024]
quality        = Int16[1024]
exposure       = 20651.149034509
backscal       = 1.6997393568944e-05
areascal       = 1.0
grouped        = True
subtracted     = False
units          = energy
rate           = True
plot_fac       = 0
response_ids   = [1]
background_ids = []

Background RMF Data Set: 1:1
name     = rmf.fits
energ_lo = Float64[1077]
energ_hi = Float64[1077]
n_grp    = UInt64[1077]
f_chan   = UInt64[1500]
n_chan   = UInt64[1500]
matrix   = Float64[440721]
e_min    = Float64[1024]
e_max    = Float64[1024]
detchans = 1024
offset   = 1
ethresh  = 1e-10

Background ARF Data Set: 1:1
name     = arf.fits
energ_lo = Float64[1077]
energ_hi = Float64[1077]
specresp = Float64[1077]
exposure = 20650.705998778
ethresh  = 1e-10

If this is not the case for your data, you will need to manually set the instrument response:

The background is subtracted from the data, rather than fit simultaneously:

sherpa> subtract()

If the background file is not referenced in the header of source_bin10.pi, you can manually load the background with load_bkg.

The input data set may be plotted:

sherpa> plot_data()

The data are plotted in energy space since the instrument response provides the information necessary for the computation of the number of predicted counts in each detector bin; Figure 1 shows the resulting plot.

Figure 1: Source Spectrum

[bitmap image of background-subtracted ACIS-S ObsID 1618 source spectrum]
[Print media version: bitmap image of background-subtracted ACIS-S ObsID 1618 source spectrum]

Figure 1: Source Spectrum

Plot of background-subtracted source spectrum.

A filter may be applied to the data before proceeding:

sherpa> notice(1,7)
dataset 1: 0.00146:14.9504 -> 0.876:7.008 Energy (keV)

sherpa> plot_data()

Note that the pileup correction will include the entire available energy information regardless of the specified filter. The fit statistics, however, are calculated only on the specified bins.

Figure 2 shows the filtered data, which has an energy range of 1–7 keV. See the Choosing an Energy Filter why topic for help in picking a range.

Figure 2: Energy-filtered source spectrum

[bitmap image of background-subtracted, energy-filtered ACIS-S ObsID 1618 source spectrum]
[Print media version: bitmap image of background-subtracted, energy-filtered ACIS-S ObsID 1618 source spectrum]

Figure 2: Energy-filtered source spectrum

Plot of background-subtracted, energy-filtered source spectrum.


Defining the Models

Multi-Component Source Model

Since we have background-subtracted the data (rather than fitting it simultaneously), it is only necessary to create a source model expression. We model this source with a power-law (xspowerlaw) absorbed by the interstellar medium (xswabs).

The absorption model will be referred to as abs1, and the broken power-law will be power1; the product of the two is assigned as the source model for the data set:

sherpa> set_source(xswabs.abs1*xspowerlaw.power1)

sherpa> show_model()
Model: 1
apply_rmf(apply_arf(20651.149034509 * xswabs.abs1 * xspowerlaw.power1))
   Param        Type          Value          Min          Max      Units
   -----        ----          -----          ---          ---      -----
   abs1.nH      thawed            1            0        1e+06 10^22 atoms / cm^2
   power1.PhoIndex thawed            1           -3           10           
   power1.norm  thawed            1            0        1e+24           

sherpa> guess(get_model())
WARNING: No guess found for xswabs.abs1

sherpa> show_model()
Model: 1
apply_rmf(apply_arf(20651.149034509 * xswabs.abs1 * xspowerlaw.power1))
   Param        Type          Value          Min          Max      Units
   -----        ----          -----          ---          ---      -----
   abs1.nH      thawed            1            0        1e+06 10^22 atoms / cm^2
   power1.PhoIndex thawed            1           -3           10           
   power1.norm  thawed   0.00145459  1.45459e-06      1.45459           

To have Sherpa automatically query for the initial parameter values when a model is established, set paramprompt(True) (it is False by default).

Since the absorption component is a multiplicative model, the guess function will not work with it. If you know the Galactic column density for your source, you may set abs1.nh and freeze it:

sherpa> abs1.nh = <value>
sherpa> freeze(abs1.nh) 

In this thread, however, we allow it to vary during the fit. For completeness, albeit unnecessary here since we can see above that the abs1.nh parameter is already thawed by default, the parameter is explicitly set to vary freely,

sherpa> thaw(abs1.nh)
 
sherpa> show_model()
Model: 1
apply_rmf(apply_arf(20651.149034509 * xswabs.abs1 * xspowerlaw.power1))
   Param        Type          Value          Min          Max      Units
   -----        ----          -----          ---          ---      -----
   abs1.nH      thawed            1            0        1e+06 10^22 atoms / cm^2
   power1.PhoIndex thawed            1           -3           10           
   power1.norm  thawed   0.00145459  1.45459e-06      1.45459           

Pileup Model

It is also necessary to define the pileup model (jdpileup) immediately after defining the source model:

sherpa> set_pileup_model(jdpileup.jdp)

sherpa> print get_pileup_model()
jdpileup.jdp
   Param        Type          Value          Min          Max      Units
   -----        ----          -----          ---          ---      -----
   jdp.alpha    thawed          0.5            0            1           
   jdp.g0       frozen            1  1.17549e-38            1           
   jdp.f        thawed         0.95          0.9            1           
   jdp.n        frozen            1  1.17549e-38          100           
   jdp.ftime    frozen        3.241  1.17549e-38            5        sec
   jdp.fracexp  frozen        0.987            0            1           
   jdp.nterms   frozen           30            1          100         

Read carefully the following information on how to set the pileup model parameters:

  • alpha

    alpha parameterizes "grade migration" in the detector, and represents the probability, per photon count greater than one, that the piled event is not rejected by the spacecraft software as a "bad event". Specifically, if N photons are piled together in a single frame, the probability of them being retained (as a single photon event with their summed energy) is given by alpha(N-1).

    alpha is the parameter most likely to be allowed to vary in a fit.

  • g0:

    Grade correction for single photon detection, i.e. a fraction g0 of single photon events will be retained as good grades.

    In practice, this should be frozen to unity (the default) in any fit.

  • f:

    The fraction of events in the source extraction region to which pileup will be applied. A typical value is approximately 0.95, and it should always be >0.85. f is the second most likely parameter, after alpha, to be allowed to vary in a fit.

    It is recommended that the lower-limit of this parameter be set to 0.85 before fitting (the default is 0.9):

    sherpa> jdp.f.min=0.85
    
  • n:

    Divide the model counts among n regions, to which the pileup model will be applied independently. This should be approximately the number of 3×3 pixel islands in the extracted spectra; for point sources it is unity (the default).

    This should remain a frozen parameter in any fit.

  • ftime

    The frame time parameter (ftime) should be set to the good exposure time per frame, which is recorded in the header keyword EXPTIME of the event file.

    [CAUTION]
    Caution

    Note that EXPTIME is used instead of TIMEDEL because the latter includes the transfer time, which ftime should not.

    The CIAO command may be executed from within Sherpa, as long as it is escaped with an exclamation point (!):

    sherpa> !dmkeypar acisf01618_evt2.fits EXPTIME echo+
    3.2
    
    sherpa> jdp.ftime=3.2
    
  • fracexp

    This parameter is a fraction ≤1 that multiplies the frame exposure time to create a shorter, effective frame exposure time.

    Users should set and freeze fracexp to the FRACEXPO value from the ARF file, and set the frame exposure time via the ftime parameter only. FRACEXPO is a value between zero and one, which indicates the fractional time that a region was exposed by a detector (e.g., it is 1.0 on chip, and drops in chip gaps).

    sherpa> !dmkeypar arf.fits FRACEXPO echo+
    0.972
    
    sherpa> jdp.fracexp=0.972     
    

    Information on using this parameter to model novel deadtime effects is available in the The Chandra ABC Guide to Pileup.

  • nterms:

    The nterms parameter represents the number of photons considered for pileup in a single frame.

    This should be left frozen at its default value of 30. In other words, the expansion of the model will include terms corresponding to 0, 1, 2, ... , 28, 29, and 30 photon events landing in the same extraction region during the same frame time.

    sherpa> jdp.nterms=30     
    

The pileup model parameters are now set as shown:

sherpa> print(get_pileup_model())
jdpileup.jdp
   Param        Type          Value          Min          Max      Units
   -----        ----          -----          ---          ---      -----
   jdp.alpha    thawed          0.5            0            1           
   jdp.g0       frozen            1  1.17549e-38            1           
   jdp.f        thawed         0.95         0.85            1           
   jdp.n        frozen            1  1.17549e-38          100           
   jdp.ftime    frozen          3.2  1.17549e-38            5        sec
   jdp.fracexp  frozen            1            0            1           
   jdp.nterms   frozen           30            1          100              

Fitting with the Nelder-Mead and Monte Carlo Optimization Methods

To find a global minimum for the fit to the data, we first choose to use one of the simpler fit optimization methods: Nelder-Mead. This will allow for a quick fit, but may require some "hands-on" work afterwards.

Fit using the Nelder-Mead method

We set the optimization method to neldermead, the fit statistic to chi2datavar, and start the fit:

sherpa> set_method("neldermead")
sherpa> set_stat("chi2datavar")

sherpa> fit()
**************************************************************
The wabs model is obsolete and is only included for comparison
with historical results. The tbabs model should be used for
the ISM or phabs for general photoelectric absorption.
**************************************************************
Dataset               = 1
Method                = neldermead
Statistic             = chi2datavar
Initial fit statistic = 2545.66
Final fit statistic   = 77.7515 at function evaluation 1371
Data points           = 42
Degrees of freedom    = 37
Probability [Q-value] = 0.000101321
Reduced statistic     = 2.10139
Change in statistic   = 2467.91
   jdp.alpha      0.283437    
   jdp.f          0.916051    
   abs1.nH        5.94769     
   power1.PhoIndex   1.35499     
   power1.norm    0.00724621  

The parameter space of models which include a pileup model component is very complex and presents a challenge to the search and fitting algorithm. By using the Nelder-Mead method, we are settling for finding a local minimum; now one should examine the solution, check the error bars, find a new minimum, refit, etc. Another option is to use a different optimization method, one which will start from several initial parameter settings and explore—in a more consistent way—the entire parameter space; the "moncar" method that uses random starting locations can be used in Sherpa.


Fit using the Monte Carlo method

Now we change the method to Monte Carlo and re-run the fit to see how the results change. Note that we start at the results obtained by Nelder-Mead, but you could reset the model parameters before continuing with the reset command, if desired.

sherpa> reset(get_source())
sherpa> set_method("moncar")
sherpa> fit()
Dataset               = 1
Method                = moncar
Statistic             = chi2datavar
Initial fit statistic = 2.83912e+08
Final fit statistic   = 77.7492 at function evaluation 6525
Data points           = 42
Degrees of freedom    = 37
Probability [Q-value] = 0.000101389
Reduced statistic     = 2.10133
Change in statistic   = 2.83912e+08
   jdp.alpha      0.243677    
   jdp.f          0.92078     
   abs1.nH        5.94912     
   power1.PhoIndex   1.35441     
   power1.norm    0.00576563  

This table compares the results from the two runs with different optimization methods:

parameter Nelder-Mead Monte Carlo
abs1.nH 5.94769 5.94912
power1.PhoIndex 1.35499 1.35441
power1.norm 0.00724621 0.00576563
jdp.alpha 0.283437 0.243677
jdp.f 0.916051 0.92078
[TIP]
Tip

To remove the pileup model from being applied to your source model during fitting, the pileup component can be unset from the dataset ID by using delete_pileup_model.


Calculate the parameter uncertainties

At this point, we continue with the first set of fit results obtained by using the Nelder-Mead optimization method. For the best-fit values to really mean something, we need to find the uncertainties on the parameters. The confidence, covariance, and/or projection commands can be used to estimate confidence intervals for the thawed parameters:

sherpa> set_method("neldermead")
sherpa> set_conf_opt("fast", False)
sherpa> conf()
abs1.nH lower bound:	-0.56062
jdp.alpha lower bound:	-0.100856
jdp.alpha upper bound:	-----
abs1.nH upper bound:	0.587676
power1.norm lower bound:	-0.00471795
jdp.f lower bound:	-0.296498
power1.norm upper bound:	0.0121471
jdp.f upper bound:	0.0388879
power1.PhoIndex lower bound:	-0.236582
power1.PhoIndex upper bound:	0.239473
WARNING: hard maximum hit for parameter jdp.alpha
Dataset               = 1
Confidence Method     = confidence
Fitting Method        = neldermead
Statistic             = chi2datavar
confidence 1-sigma (68.2689%) bounds:
   Param            Best-Fit  Lower Bound  Upper Bound
   -----            --------  -----------  -----------
   jdp.alpha        0.243677    -0.100856        -----
   jdp.f             0.92078    -0.296498    0.0388879
   abs1.nH           5.94912     -0.56062     0.587676
   power1.PhoIndex      1.35441    -0.236582     0.239473
   power1.norm    0.00576563  -0.00471795    0.0121471

The table lists the best-fit values for the model parameters, as well as the upper and lower bounds on each of them; jdp.alpha does not have an upper bound, so it is unconstrained towards the hard maximum. Notice that the conf() command is preceded by set_conf_opt('fast', False) to explicitly use the current optimization method (Nelder-Mead) instead of LevMar, the method used by confidence when "fast" is set to False.

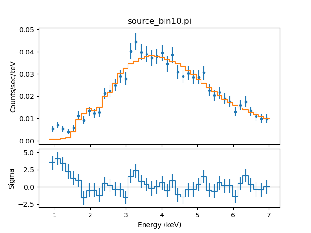
Finally, plot the fit and the residuals of the fit:

The final plot is show in Figure 3.

Figure 3: Plot of the fit and residuals

[bitmap image of the fit and residuals of an ACIS-S ObsID 1618 source spectrum]
[Print media version: bitmap image of the fit and residuals of an ACIS-S ObsID 1618 source spectrum]

Figure 3: Plot of the fit and residuals

Plot of the model fit to the source spectrum, with residuals.


Examining the Pileup Fraction

It is now possible to see what fraction of the events are calculated as piled:

sherpa> print(get_pileup_model())
jdpileup.jdp
   Param        Type          Value          Min          Max      Units
   -----        ----          -----          ---          ---      -----
   jdp.alpha    thawed     0.243677            0            1           
   jdp.g0       frozen            1  1.17549e-38            1           
   jdp.f        thawed      0.92078         0.85            1           
   jdp.n        frozen            1  1.17549e-38          100           
   jdp.ftime    frozen          3.2  1.17549e-38            5        sec
   jdp.fracexp  frozen            1            0            1           
   jdp.nterms   frozen           30            1          100           

   1: 0.218205  0.736301
   2: 0.261432  0.214964
   3: 0.208816  0.0418392
   4: 0.125092  0.0061075
   5: 0.0599491  0.000713236
   6: 0.0239418  6.941e-05
   7: 0.00819566  5.7898e-06
   8: 0.00245482  4.22585e-07
   9: 0.000653584  2.74164e-08
   10: 0.000156613  1.60085e-09
   11: 3.41161e-05  8.49764e-11
   *** pileup fraction: 0.263699

This command prints the pileup fractions from the most recent fit. From left to right, the columns report the number of piled photons, percentage of that number of photons in the pileup region, and percentage of that number of piled photons in the total events. The fraction of pileup in the observation is printed after the breakdown.

To clarify, in this example, the first row indicates that ~22% of the frames contained a single photon in the pileup region and ~74% of the events were single-photon events. The second row shows that ~26% of the frames contained 2 photons in the pileup region and ~21% of the events were due to 2 photons, and so forth. For this observation, the total pileup fraction is ~26.4%.


Saving the Fit Results

Before exiting Sherpa, save the fit results to a file:

These results may then be restored in a later session with the restore command.


Scripting It

The file fit.py is a Python script which performs the primary commands used above; it can be executed by typing %run -i fit.py on the Sherpa command line.

The Sherpa script command may be used to save everything typed on the command line in a Sherpa session:

sherpa> script(filename="sherpa.log", clobber=False)

(Note that restoring a Sherpa session from such a file could be problematic since it may include syntax errors, unwanted fitting trials, et cetera.)


History

01 Dec 2008 updated for CIAO 4.1
29 Apr 2009 new script command is available with CIAO 4.1.2
04 Jan 2010 updated for CIAO 4.2
19 Apr 2010 changed the recommended values for the nterms and fracexp parameters of the jdpileup.jdp model
21 Jun 2010 An updated version of the Chandra ABC Guide to Pileup is now linked to this thread.
13 Jul 2010 updated for CIAO 4.2 Sherpa v2: removal of S-Lang version of thread.
06 Jan 2012 reviewed for CIAO 4.4: minor changes to show_all output
13 Dec 2013 updated for CIAO 4.6: use acis_find_afterglow in lieu of acis_detect_afterglow
04 Mar 2015 updated for CIAO 4.7, no content change
03 Dec 2015 reviewed for CIAO 4.8, no content change
31 Oct 2016 reviewed for CIAO 4.9, updated table and fit results, no content change
25 May 2018 reviewed for CIAO 4.10, no content change
10 Dec 2018 reviewed for CIAO 4.11, no content change
13 Dec 2019 reviewed for CIAO 4.12, figures revised with Matplotlib.
25 Mar 2022 updated for CIAO 4.14, no content change
06 Dec 2022 updated for CIAO 4.15, added note on using delete_pileup_model to unset the pileup component.
21 Nov 2023 updated for CIAO 4.16, no content change, fixed typos and fit result explanation.
10 Dec 2024 updated for CIAO 4.17, removed 'guess' comment since the function has been improved to work with multi-component model expressions.
24 Nov 2025 updated for CIAO 4.18, model fits and figures revised.