Last modified: 13 Feb 2026

URL: https://cxc.cfa.harvard.edu/sherpa/threads/lines_acishetg/

Measuring Line Parameters with an HETG/ACIS-S Spectrum

Sherpa Threads (CIAO 4.18 Sherpa)


Overview

Synopsis:

After having created or downloaded a set of PHA2 and response files (RMFs and ARFs), for a HETG/ACIS-S observation, perform a simple fit to one of the line features present in the spectrum. This thread takes the user through a calculation of the error bars on the line normalizations, positions, and widths, and shows how to calculate the line equivalent widths.

For those wishing to perform their analysis with XSPEC, the PHA2 file must first be split into individual type 1 PHA files, and then grouped to increase the signal-to-noise in each spectral bin. The Grouping a Grating Spectrum CIAO thread shows how to do this, and the procedure is also included within this thread.

Run this thread if:

You are working with a HETG/ACIS-S data set, and want to begin a simple analysis of the data.

Related Links:

Last Update: 13 Feb 2026 - make use of multi-ID over plotting (FAQ: How can I include multiple datasets in the same plot?); omit explicit use of convolving response to model component in plot_model_component since it is no longer required.


Contents


Data Preparation

This thread makes use of archival data products for Vela X-1, downloaded from TGcat. They were obtained by performing a "Search by Name" on Vela X-1 (using the SIMBAD name resolver), then choosing viewfile table for the target, and clicking the download arrow next to each filename. These files were unzipped and placed in the directory in which the data analysis is to be performed.

Note that we are not considering any background files. For HETG/ACIS-S observations, the background is suppressed by the process of order sorting. That is, an event at a given location along the grating arms must fall into a narrow range of energies (as determined by the CCD) in order for it to be considered a valid dispersed photon. Most background events do not meet these "order sorting" criteria. For this, and many other HETG/ACIS-S observations, the first simple analysis can be performed without reference to the background. (Detailed analysis of low S/N spectra likely would require proper consideration of the background. See the Fitting Grating Data thread for an example of analysis including background data).

Those using either Sherpa or ISIS to perform their analysis can use the data files directly in the analysis; skip to the "Load the Spectrum and Responses" section.

XSPEC users, however, must split and group the spectra before the analysis as described here.


Load the Spectrum and Responses

Start a Sherpa session:

-----------------------------------------------------
Welcome to Sherpa: CXC's Modeling and Fitting Package
-----------------------------------------------------
Sherpa 4.18.0+2.ga0c5211a

Python 3.12.12 | packaged by conda-forge | (main, Oct 13 2025, 14:34:15) [GCC 14.3.0]
Type 'copyright', 'credits' or 'license' for more information
IPython 9.7.0 -- An enhanced Interactive Python. Type '?' for help.

IPython profile: sherpa
Using matplotlib backend: tkagg

sherpa>

We begin by reading the PHA2 file that contains the grating spectra. This file contains 12 spectra, 3 spectral orders each for both positive and negative order HEG and MEG spectra. They are stored in the order: HEG -3, -2, -1, 1, 2, 3; MEG -3, -2, -1, 1, 2, 3. By default, Sherpa will read in all 12 spectral files in this order.

We are only interested, however, in the first-order spectra (positive and negative); therefore, we use a Data Model-type filter to select the third, fourth, ninth, and tenth rows of the PHA2 file (HEG -1, +1 and MEG -1, +1, respectively).

sherpa> load_pha("pha2[#row=3,4,9,10]")    
WARNING: systematic errors were not found in file 'pha2[#row=3,4,9,10]'
statistical errors were found in file 'pha2[#row=3,4,9,10]' 
but not used; to use them, re-read with use_errors=True
read background_up into a dataset from file pha2[#row=3,4,9,10]
read background_down into a dataset from file pha2[#row=3,4,9,10]
Multiple data sets have been input: 1-4

The row numbers used can be identified by looking at the TG_PART and TG_M columns in the PHA2 data products guide. As shown in the 'spectrum-specific' columns descriptions table TG_PART=1 corresponds to the HEG arm while TG_PART=2 is the MEG arm; TG_M represents the sorted grating order.

sherpa> dmlist pha2"[cols TG_PART,TG_M]" data
 
--------------------------------------------------------------------------------
Data for Table Block SPECTRUM
--------------------------------------------------------------------------------
 
ROW    TG_PART TG_M
 
     1    1   -3
     2    1   -2
     3    1   -1
     4    1    1
     5    1    2
     6    1    3
     7    2   -3
     8    2   -2
     9    2   -1
    10    2    1
    11    2    2
    12    2    3
[NOTE]
Note

Alternatively, one could use a filter to select all negative and postitive first-order spectra via the TG_M keyword:

sherpa> load_pha("pha2[TG_M=-1,1]")

The load_pha call sets the "file name" of each dataset to the same string, which is not helpful in the plots we will show, so let's set the name field to match the dataset:

sherpa> get_data(1).name = "pha2[#row=3]"
sherpa> get_data(2).name = "pha2[#row=4]"
sherpa> get_data(3).name = "pha2[#row=9]"
sherpa> get_data(4).name = "pha2[#row=10]"

We now read in the associated ARF files and assign them to their corresponding data sets and associated backgrounds,

sherpa> load_arf(1, "heg_-1.arf")
sherpa> load_arf(2, "heg_1.arf")
sherpa> load_arf(3, "meg_-1.arf")
sherpa> load_arf(4, "meg_1.arf")

sherpa> load_arf(1, "heg_-1.arf", bkg_id=1)
sherpa> load_arf(1, "heg_-1.arf", bkg_id=2)
sherpa> load_arf(2, "heg_1.arf", bkg_id=1)
sherpa> load_arf(2, "heg_1.arf", bkg_id=2)
sherpa> load_arf(3, "meg_-1.arf", bkg_id=1)
sherpa> load_arf(3, "meg_-1.arf", bkg_id=2)
sherpa> load_arf(4, "meg_1.arf", bkg_id=1)
sherpa> load_arf(4, "meg_1.arf", bkg_id=2)

then do the same for the RMF files.

sherpa> load_rmf(1, "heg_-1.rmf") 
sherpa> load_rmf(2, "heg_1.rmf")
sherpa> load_rmf(3, "meg_-1.rmf")
sherpa> load_rmf(4, "meg_1.rmf")

sherpa> load_rmf(1, "heg_-1.rmf", bkg_id=1)
sherpa> load_rmf(1, "heg_-1.rmf", bkg_id=2)
sherpa> load_rmf(2, "heg_1.rmf", bkg_id=1)
sherpa> load_rmf(2, "heg_1.rmf", bkg_id=2)
sherpa> load_rmf(3, "meg_-1.rmf", bkg_id=1)
sherpa> load_rmf(3, "meg_-1.rmf", bkg_id=2)
sherpa> load_rmf(4, "meg_1.rmf", bkg_id=1)
sherpa> load_rmf(4, "meg_1.rmf", bkg_id=2)

Filtering and Grouping the Data

For the purposes of this analysis, we are interested in fitting the line near 6.4 keV. We restrict the energy range to 5–7 keV for all four spectra using the notice command, since the same energy filter is to be applied to all data set IDs; the notice_id command is available for filtering data sets individually.

sherpa> notice(5., 7.)
dataset 1: 0.577208:12.3984 -> 4.99936:7.00476 Energy (keV)
dataset 2: 0.577208:12.3984 -> 4.99936:7.00476 Energy (keV)
dataset 3: 0.295482:12.3984 -> 4.99936:7.00476 Energy (keV)
dataset 4: 0.295482:12.3984 -> 4.99936:7.00476 Energy (keV)

sherpa> show_filter()
Data Set Filter: 1
4.9994-7.0048 Energy (keV)

Data Set Filter: 2
4.9994-7.0048 Energy (keV)

Data Set Filter: 3
4.9994-7.0048 Energy (keV)

Data Set Filter: 4
4.9994-7.0048 Energy (keV)

Sherpa allows one to bin the spectra during the analysis session; see the Sherpa thread Changing the grouping scheme of a data set within Sherpa for details.

We bin each of the spectra to have a minimum of 20 counts per energy channel and restrict this analysis to the previously noticed energy range (since the same task is run for all four datasets we use a Python loop):

sherpa> for i in range(1, 5):
   ...:     group_counts(i, 20)
[TIP]
Tip

To apply an alternative grouping, the data sets must be ungrouped first due to a limitation in the Sherpa grouping library.

sherpa> for i in range(1, 5):
   ...:     ungroup(i)
   ...:     group_counts(i, 20)

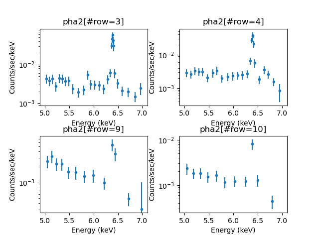
The spectra can all be plotted in the same figure using the plot command (chosen to use a logarithmc scale for the y-axis thanks to the set_ylog call). The results are shown in Figure 1:

sherpa> set_ylog('data')
sherpa> plot("data", 1, "data", 2, "data", 3, "data", 4)

Figure 1: Plot of the ±1 HEG and MEG spectra

[The HEG and MEG spectra are plotted one above the other.]
[Print media version: The HEG and MEG spectra are plotted one above the other.]

Figure 1: Plot of the ±1 HEG and MEG spectra

The HEG (upper) and MEG (lower) plots with -1 order on the left and and the +1 order on the right. The plots are displayed with a logarithmic scale and have been filtered to the range 5.0–7.0 keV.

Note that the last bin often has a significantly-larger error bar than the preceeding bins, which is because this group does not contain 20 counts. It is up to you to decide whether to keep such bins in your analysis, to filter them out, or to increase the noticed range to add more counts.

Note that associated background spectra (two each for each spectrum, one from either side of the gratings arm) have been read in with the source spectra. We can see this by using list_bkg_ids for one of the datasets:

sherpa> list_bkg_ids(1)
[1, 2]

For this particular dataset the background signal is low (Figure 2):

sherpa> ungroup(1, bkg_id=1)
dataset 1: background 1: 4.99936:7.00476 Energy (keV) (unchanged)

sherpa> ungroup(1, bkg_id=2)
dataset 1: background 2: 4.99936:7.00476 Energy (keV) (unchanged)

sherpa> plot('bkg', 1, 1, 'bkg', 1, 2, yerrorbars=False)

Figure 2: Plot of the background components for the -1 HEG spectrum

[The two background datasets are mainly filled with 0's.]
[Print media version: The two background datasets are mainly filled with 0's.]

Figure 2: Plot of the background components for the -1 HEG spectrum

Since the background signal is low (there is only one grouped element for each background) we have removed the grouping for the background datasets before plotting the data.

Multiple arguments may be passed to a plot command in plot, which lets us select both bkg_id components for the first dataset here. Also new is the ability to specify plot options for all the plots, in this case to turn off the display if the y-error bars.

The scaling factor—the number we multiply the background counts by to subtract it from the source region—is calculated by get_bkg_scale:

sherpa> get_bkg_scale(1, bkg_id=1)
        0.12441436912310064
sherpa> get_bkg_scale(1, bkg_id=2)
        0.12441436912310064

So we can see that in this case the background contribution is small (we should check each dataset individually, but for this source the conclusion holds). Now, unless the subtract command is called, or unless one creates a background model, they will not be part of the fitting process but will cause a warning message to be displayed if not used:

WARNING: data set 1 has associated backgrounds, but they have not been subtracted, nor have background models been set

To avoid this we remove the background components, which requires using a "low-level" set of commands:

sherpa> for i in range(1, 5):
   ...:    d = get_data(i)
   ...:    d.delete_background(2)
   ...:    d.delete_background(1)

The data sets currently being considered in the analysis can be viewed with the show_data, show_bkg, and show_all commands. For example, we can list the datasets to be fitted with the list_data_ids command:

sherpa> print(list_data_ids())
[1, 2, 3, 4]

Defining the Source Models

We will first fit a broad continuum to the spectra, without any lines. The XSPEC power-law model (xspowerlaw) is chosen for the continuum. It is assigned as the source for data set 1 and given the model name powr; the model name is then used to assign the same source model to the other data sets:

sherpa> set_source(1, xspowerlaw.powr)
sherpa> set_source(2, powr)
sherpa> set_source(3, powr)
sherpa> set_source(4, powr)
sherpa> show_source()
Model: 1
xspowerlaw.powr
   Param        Type          Value          Min          Max      Units
   -----        ----          -----          ---          ---      -----
   powr.PhoIndex thawed            1           -3           10           
   powr.norm    thawed            1            0        1e+24           

Model: 2
xspowerlaw.powr
   Param        Type          Value          Min          Max      Units
   -----        ----          -----          ---          ---      -----
   powr.PhoIndex thawed            1           -3           10           
   powr.norm    thawed            1            0        1e+24           

Model: 3
xspowerlaw.powr
   Param        Type          Value          Min          Max      Units
   -----        ----          -----          ---          ---      -----
   powr.PhoIndex thawed            1           -3           10           
   powr.norm    thawed            1            0        1e+24           

Model: 4
xspowerlaw.powr
   Param        Type          Value          Min          Max      Units
   -----        ----          -----          ---          ---      -----
   powr.PhoIndex thawed            1           -3           10           
   powr.norm    thawed            1            0        1e+24           

Fitting

The fit statistic is set to be \(\chi^{2}\) with the data counts acting as the variance (i.e., a Gaussian approximation to simple Poisson statistics). All data sets are fit simultaneously.

sherpa> set_stat("chi2datavar")
sherpa> fit()
Datasets              = 1, 2, 3, 4
Method                = levmar
Statistic             = chi2datavar
Initial fit statistic = 9.64525e+08
Final fit statistic   = 392.585 at function evaluation 77
Data points           = 78
Degrees of freedom    = 76
Probability [Q-value] = 3.46813e-44
Reduced statistic     = 5.16559
Change in statistic   = 9.64525e+08
   powr.PhoIndex   -1.32153     +/- 0.295295    
   powr.norm      2.0199e-05   +/- 1.05253e-05 

At any time, the results of the last fit can be displayed using the show_fit command. The fit yields the following results:

sherpa> show_fit()
Optimization Method: LevMar
name     = levmar
ftol     = 1.1920928955078125e-07
xtol     = 1.1920928955078125e-07
gtol     = 1.1920928955078125e-07
maxfev   = None
epsfcn   = 1.1920928955078125e-07
factor   = 100.0
numcores = 1
verbose  = 0

Statistic: Chi2DataVar
Chi Squared with data variance.

    The variance in each bin is estimated from the data value in that
    bin.

    If the number of counts in each bin is large, then the shape of
    the Poisson distribution from which the counts are sampled tends
    asymptotically towards that of a Gaussian distribution, with
    variance

        sigma(i)^2 = N(i,S) + [A(S)/A(B)]^2 N(i,B)

    where N is the number of on-source (and off-source) bins included
    in the fit. The background term appears only if an estimate of the
    background has been subtracted from the data.

    A(B) is the off-source "area", which could be
    the size of the region from which the background is extracted, or
    the length of a background time segment, or a product of the two,
    etc.; and A(S) is the on-source "area". These terms may be defined
    for a particular type of data: for example, PHA data sets A(B) to
    `BACKSCAL * EXPOSURE` from the background data set and A(S) to
    `BACKSCAL * EXPOSURE` from the source data set.

    See Also
    --------
    Chi2Gehrels, Chi2ModVar, Chi2XspecVar



Fit:Datasets              = 1, 2, 3, 4
Method                = levmar
Statistic             = chi2datavar
Initial fit statistic = 9.64525e+08
Final fit statistic   = 392.585 at function evaluation 77
Data points           = 78
Degrees of freedom    = 76
Probability [Q-value] = 3.46813e-44
Reduced statistic     = 5.16559
Change in statistic   = 9.64525e+08
   powr.PhoIndex   -1.32153     +/- 0.295295    
   powr.norm      2.0199e-05   +/- 1.05253e-05 

The results of these fits can then be plotted. Here we choose to display just the data and fits, not the residuals, and overplot on the same plot for easy comparison, resulting in Figure 3:

sherpa> plot_fit([1,2,3,4], alpha=0.5, ylog=False)

Figure 3: Continuum Fit to the Data

[The four spectra are shown in the same plot: the continuum emission is well described by the power law, but there is an obvious excess emission (in the form of a line) at 6.4 keV in all data sets. You can see the difference efficiency of the HEG and MEG instruments (the normalisation differs).]
[Print media version: The four spectra are shown in the same plot: the continuum emission is well described by the power law, but there is an obvious excess emission (in the form of a line) at 6.4 keV in all data sets. You can see the difference efficiency of the HEG and MEG instruments (the normalisation differs).]

Figure 3: Continuum Fit to the Data

A rather crowded plot, where we can see the difference in the effective area of the HEG and MEG instruments.

The transparency of plot objects may be set with the alpha setting.


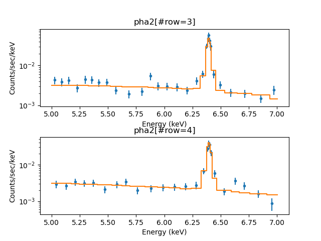
Adding Lines to the Model and Fitting Again

We start by creating a Gaussian model component for the feature at 6.4 keV, named g1 and set the Gaussian normalization to 10-4.

sherpa> one_line = powr + xsgaussian.g1
sherpa> g1.norm = 1e-4

sherpa> for i in range(1, 5):
   ...:     set_source(i, one_line)

which we can fit to all datasets:

sherpa> fit()
Datasets              = 1, 2, 3, 4
Method                = levmar
Statistic             = chi2datavar
Initial fit statistic = 440.659
Final fit statistic   = 81.615 at function evaluation 65
Data points           = 78
Degrees of freedom    = 73
Probability [Q-value] = 0.229222
Reduced statistic     = 1.11801
Change in statistic   = 359.044
   powr.PhoIndex   -0.803776    +/- 0.318336    
   powr.norm      4.78945e-05  +/- 2.6737e-05  
   g1.LineE       6.39451      +/- 0.00128091  
   g1.Sigma       0.0188776    +/- 0.00116102  
   g1.norm        0.000159236  +/- 9.21395e-06 

The improvement in the fit is shown in Figure 4:

sherpa> plot('fit', 1, 'fit', 2, 'fit', 3, 'fit', 4)

Figure 4: Adding a single line

[There are now four plots, arranged in a 2 by 2 grid, each the same shape. The data points are in blue, and the model fit is an orange line. In all cases the model looks to be a reasonable description of the data, although the bottom two plots are significantly lower quality.]
[Print media version: There are now four plots, arranged in a 2 by 2 grid, each the same shape. The data points are in blue, and the model fit is an orange line. In all cases the model looks to be a reasonable description of the data, although the bottom two plots are significantly lower quality.]

Figure 4: Adding a single line

The -1 orders are in the left column, and +1 orders in the right column. The top row is HEG and bottom row is MEG. The fit is overlaid in orange onto the blue data points.

The MEG spectra do not have very good statistics in the region of interest; therefore, we delete these data sets from the current session before proceeding with the fits.

sherpa> delete_data(3)
sherpa> delete_data(4)
sherpa> print(list_data_ids())
[1, 2]

We refit, to make sure we have the best-fit for just this data:

sherpa> fit()
Datasets              = 1, 2
Method                = levmar
Statistic             = chi2datavar
Initial fit statistic = 64.3454
Final fit statistic   = 60.8639 at function evaluation 25
Data points           = 54
Degrees of freedom    = 49
Probability [Q-value] = 0.119084
Reduced statistic     = 1.24212
Change in statistic   = 3.4815
   powr.PhoIndex   -0.661889    +/- 0.380797    
   powr.norm      6.02151e-05  +/- 4.04806e-05 
   g1.LineE       6.39366      +/- 0.00121839  
   g1.Sigma       0.0179534    +/- 0.00108329  
   g1.norm        0.000172477  +/- 1.06116e-05 

We can see how this plot (Figure 5) compares to Figure 4:

sherpa> plot('fit', 1, 'fit', 2)

Figure 5: Restricting to just the HEG data

[There are now two plots, arranged vertically. The best-fit solution looks similar to the previous fit to all four datasets.]
[Print media version: There are now two plots, arranged vertically. The best-fit solution looks similar to the previous fit to all four datasets.]

Figure 5: Restricting to just the HEG data

The -1 HEG order is in the upper plot and the +1 HEG order is in the lower plot. The fit is overlaid in orange.


Examine the Fit Results

We see that we have a good fit to the spectra, including a line component. We can now explore the errors in the line parameters using the conf command to run the Sherpa confidence routines. As is common in X-ray astronomy, we search for the 90% confidence level values for one interesting parameter (i.e., the variation of the parameter of interest that when refitting the remaining unfrozen parameters yields a change in the \(\chi^{2}\) value of 2.706). This corresponds to an error bar of 1.64σ (1σ being the 68% confidence interval), and set this as the default error value in the confidence routines via the set_conf_opt command. We then run conf for the three parameters of each of the Gaussian model components: line energy, line width, and line normalization.

sherpa> set_conf_opt("sigma", 1.64)
sherpa> conf(g1.linee, g1.sigma, g1.norm)
g1.LineE lower bound:	-0.00201149
g1.Sigma lower bound:	-0.00179911
g1.norm lower bound:	-1.74182e-05
g1.Sigma upper bound:	0.00188585
g1.LineE upper bound:	0.00200314
g1.norm upper bound:	1.74267e-05
Datasets              = (1, 2)
Confidence Method     = confidence
Fitting Method        = levmar
Statistic             = chi2datavar
confidence 1.64-sigma (89.8995%) bounds:
   Param            Best-Fit  Lower Bound  Upper Bound
   -----            --------  -----------  -----------
   g1.LineE          6.39366  -0.00201149   0.00200314
   g1.Sigma        0.0179534  -0.00179911   0.00188585
   g1.norm       0.000172477 -1.74182e-05  1.74267e-05

We see that the line position is determined to approximately 0.002 keV, i.e., an equivalent velocity of 80 km/s. This is essentially the limit of the HEG spectral resolution.

The line width is <0.011 keV (i.e., <560 km/sec), but is likely >0.006 keV (i.e., >280 km/sec). Again, these are near the limits of the capabilities of the HEG detector, but far better than the limits one could place with CCD detectors. Finally, we see that the line normalization is determined to within ±10%.

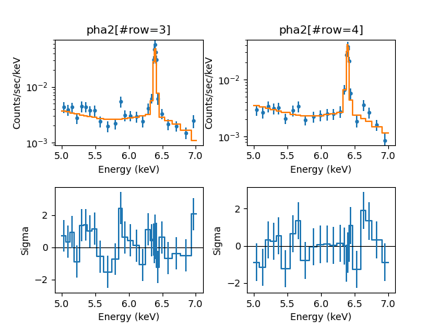
We can now plot the data, fits, and residuals (i.e., four separate plots), all on one figure. Since the plot titles overlap each other, and other plot elements, Matplotlib commands are used to clear the title for the bottom two plots (Figure 6).

sherpa> plot("fit", 1, "fit", 2, "delchi", 1, "delchi", 2)

sherpa> for ax in plt.gcf().axes[2:]:
   ...:    ax.set_title('')

Figure 6: Fit and Residuals to the Spectral Line

[plot of the -/+1 HEG spectra and fit with residuals]
[Print media version: plot of the -/+1 HEG spectra and fit with residuals]

Figure 6: Fit and Residuals to the Spectral Line

The HEG -1 order (left) and +1-order (right).

To explore whether adding another, broader line component changes the results any, we create a second Gaussian component, and call it g2. We then define a model consisting of a power-law plus two Gaussian components, and apply it to both data sets. We change the normalization of the second Gaussian to be somewhat smaller, then fit the data.

sherpa> full_model = one_line + xsgaussian.g2
sherpa> g2.norm = 1.e-4
sherpa> set_model(1, full_model)
sherpa> set_model(2, full_model)
sherpa> fit()
Datasets              = 1, 2
Method                = levmar
Statistic             = chi2datavar
Initial fit statistic = 171.299
Final fit statistic   = 49.0998 at function evaluation 359
Data points           = 54
Degrees of freedom    = 46
Probability [Q-value] = 0.349975
Reduced statistic     = 1.06739
Change in statistic   = 122.199
   powr.PhoIndex   1.87202      +/- 1.89071     
   powr.norm      0.00412499   +/- 0.0130087   
   g1.LineE       6.39375      +/- 0.0012344   
   g1.Sigma       0.0170873    +/- 0.00114652  
   g1.norm        0.000164764  +/- 1.09839e-05 
   g2.LineE       6.48819      +/- 0.0646018   
   g2.Sigma       0.338092     +/- 0.128241    
   g2.norm        0.000120025  +/- 7.7056e-05  

sherpa> conf()
g1.LineE lower bound:	-0.00204137
g1.norm lower bound:	-1.79739e-05
g1.LineE upper bound:	0.00203226
g1.Sigma lower bound:	-0.00188585
powr.PhoIndex lower bound:	-2.00439
powr.PhoIndex upper bound:	4.30163
g2.Sigma lower bound:	-0.154261
g1.norm upper bound:	1.79727e-05
g1.Sigma upper bound:	0.00194462
g2.Sigma upper bound:	0.253954
powr.norm lower bound:	-0.00398275
g2.norm lower bound:	-7.74233e-05
g2.LineE lower bound:	-0.115011
powr.norm +: WARNING: The confidence level lies within (9.830537e-02, 1.011804e-01)
powr.norm upper bound:	0.0956179
g2.LineE upper bound:	0.133716
g2.norm upper bound:	0.000170514
Datasets              = (1, 2)
Confidence Method     = confidence
Fitting Method        = levmar
Statistic             = chi2datavar
confidence 1.64-sigma (89.8995%) bounds:
   Param            Best-Fit  Lower Bound  Upper Bound
   -----            --------  -----------  -----------
   powr.PhoIndex      1.87202     -2.00439      4.30163
   powr.norm      0.00412499  -0.00398275    0.0956179
   g1.LineE          6.39375  -0.00204137   0.00203226
   g1.Sigma        0.0170873  -0.00188585   0.00194462
   g1.norm       0.000164764 -1.79739e-05  1.79727e-05
   g2.LineE          6.48819    -0.115011     0.133716
   g2.Sigma         0.338092    -0.154261     0.253954
   g2.norm       0.000120025 -7.74233e-05  0.000170514

The inclusion of the second line component does not greatly affect the conclusions about the parameters of the first line component. The line centroid is the same with comparable error bars. The uncertainty on the line width has increased slightly, as has the uncertainty on the line normalization.

We plot the results for this fit in a manner identical to the one Gaussian line fit (Figure 7).

sherpa> plot("fit", 1, "fit", 2, "delchi", 1, "delchi", 2)

sherpa> for ax in plt.gcf().axes[2:]:
   ...:    ax.set_title('')

Figure 7: HEG ±1 Order Two Gaussian Component Fit

[the HEG +/-1 order two component fit]
[Print media version: the HEG +/-1 order two component fit]

Figure 7: HEG ±1 Order Two Gaussian Component Fit

The HEG -1-order (left) and +1-order (right).

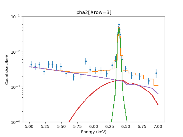
We can then use the plot_model_component function to display the individual components of the fit:

sherpa> plot_fit(1)
sherpa> plot_model_component(1, g1, overplot=True)
sherpa> plot_model_component(1, g2, overplot=True)
sherpa> plot_model_component(1, powr, overplot=True)
sherpa> plt.ylim(1e-4, 1e-1)

Figure 8: The line components to the HEG -1 order fit

[The g1 component is a good fit to the line, but the g2 component is very broad.]
[Print media version: The g1 component is a good fit to the line, but the g2 component is very broad.]

Figure 8: The line components to the HEG -1 order fit

The green (g1) and red (g2) lines show the models for just the line components. We can see that the g1 line fits the narrow emission line, and the g2 component is much broader. The purple line shows the powr powerlaw component.

Note that plot_model_component displays the ungrouped model (that is, it uses the native energy resolution of the instrument model) whereas the plot_fit function displays the grouped model data.

Given that the extra component adds little to the description of the data, we drop it from the model and refit the data with a single line, resulting in the same parameters from before.

sherpa> set_model(1, one_line)
sherpa> set_model(2, one_line)
sherpa> fit()
Datasets              = 1, 2
Method                = levmar
Statistic             = chi2datavar
Initial fit statistic = 120.967
Final fit statistic   = 60.8639 at function evaluation 93
Data points           = 54
Degrees of freedom    = 49
Probability [Q-value] = 0.119084
Reduced statistic     = 1.24212
Change in statistic   = 60.1035
   powr.PhoIndex   -0.661894    +/- 0.380797    
   powr.norm      6.02145e-05  +/- 4.04802e-05 
   g1.LineE       6.39366      +/- 0.0012184   
   g1.Sigma       0.0179535    +/- 0.0010833   
   g1.norm        0.000172477  +/- 1.06116e-05 

Calculate the Equivalent Width of a Line and Continuum Flux

Rather than merely presenting the line normalizations, we can instead calculate the line equivalent width. The line equivalent width is an often used measure for the line strength relative to the underlying continuum. Sherpa has a function for evaluating the equivalent width, eqwidth. The required inputs are the source model absent the line feature of interest and the source model with the line feature of interest.

Optionally, the data set number for which the equivalent width will be calculated can also be given as an input, but here as we apply the same model and parameters to both data sets, this is not necessary. There are also optional lo and hi arguments for restricting the calculation of the equivalent width to a subset of the full energy or wavelength range of a data set.

sherpa> print(1000 * eqwidth(powr, powr + g1))
838.8991980447945

The units of the equivalent width are the same as the units of the x-axis, in this case, keV. Thus the line equivalent width is ~839 eV, which indicates a very strong line. That is, there is as nearly as much flux in the line as there is in the continuum over the 6.0–7.0 keV region.

We can verify this by calculating fluxes directly, using the calc_photon_flux and calc_energy_flux commands. We first calculate these fluxes from the full model (continuum plus line) over just the 6.0–7.0 keV range. The returned fluxes are in units of photon/cm2/sec and ergs/cm2/sec, respectively.

sherpa> pflux_all = calc_photon_flux(6., 7.)
sherpa> eflux_all = calc_energy_flux(6., 7.)

sherpa> print(pflux_all)
0.0003802871644630169

sherpa> print(eflux_all)
3.933811580299065e-12

We can calculate the flux of just the Gaussian line, taking advantage of the model argument added in CIAO 4.12.1:

sherpa> pflux_g1 = calc_photon_flux(6., 7., model=g1)
sherpa> eflux_g1 = calc_energy_flux(6., 7., model=g1)

sherpa> print(pflux_g1)
0.00017247651364348963

sherpa> print(eflux_g1)
1.7668117744853832e-12

Over this one keV bandwidth, the line contributes a fraction,

sherpa> print(pflux_g1 / (pflux_all - pflux_g1))
0.829969556244143

to the photon flux. This is approximately consistent with the equivalent width calculation of 830 eV.

The uncertainties on the equivalent widths can also be determined by means of MCMC draws through eqwidth using the error argument. The niter argument may be used to set the total number of draws to perform, by default it is set to 1000 (n.b. if \(\mathtt{niter}\) is an even number, then the number of draws performed is really \(\mathtt{niter + 1}\)). A five-element tuple is returned containing:

  • median equivalent width
  • 1σ equivalent width lower-bound
  • 1σ equivalent width upper-bound
  • array of arrays for each model parameter obtained from the draws of a MCMC chain via get_draws
  • array of equivalent widths derived from the respective drawn parameters

All returned values are in terms of keV except for the model parameters.

sherpa> eqw_median, eqw_lo, eqw_hi, modpars, eqw = eqwidth(powr, powr+g1, error=True)

The median equivalent width can be seen:

sherpa> print(eqw_median)
  0.9280849188314352

which can also be found operating on the eqw array with Numpy's median or quantile (with q=0.5) functions.

sherpa> print(np.median(eqw))
  0.9280849188314352

sherpa> print(np.quantile(eqw, 0.5))
  0.9280849188314352

The 1σ lower- and upper-bounds of the equivalent width are then:

sherpa> print(eqw_lo)
  0.8023304520143508

sherpa> print(eqw_hi)
  1.2295847539452887

which can be duplicated by doing:

sherpa> sigfrac = 0.682689 # 1-sigma confidence interval

sherpa> np.quantile(eqw, 0.5*(1-sigfrac)) # lower
  0.8023304520143508

sherpa> np.quantile(eqw, 0.5*(1+sigfrac)) # upper
  1.2295847539452887

This approach would also allow you to find the lower- and upper-bounds of wider confidence intervals too. The probability density function and cumulative density function on the equivalent width draws may be displayed using the plot_pdf and plot_cdf, respectively.

Instead of having eqwidth obtain the model draws, the model parameter values may be provided using the params argument, for example using the outputs returned by sample_flux as demonstrated in the Calculating Model Flux and Flux Uncertainty thread.


Scripting It

The file fit.py is a Python script which performs the primary commands used above; it can be executed by typing %run -i fit.py on the Sherpa command line.

The Sherpa script command may be used to save everything typed on the command line in a Sherpa session:

sherpa> script(filename="sherpa.log", clobber=False)

(Note that restoring a Sherpa session from such a file could be problematic since it may include syntax errors, unwanted fitting trials, et cetera.)


Summary

As shown above, working with gratings spectra is fundamentally no different than working with CCD spectra. Aside from the fact that gratings data will often begin with a PHA2 file containing multiple spectra, rather than a type 1 PHA file containing a single spectrum, the analysis paths can be very much the same for both types of spectra. (If one is performing analysis in either Sherpa or ISIS, the PHA2 file can be used directly, whereas for XSPEC one has to use the intermediate step of creating type 1 PHA files in order to be able to bin the data.) The data are read in, response matrices are assigned, models are defined and fit, and error bars on the parameters are determined. Line fluxes and equivalent widths can be calculated easily. Gratings spectra can even be slightly less complicated than CCD spectra in that ACIS-S/HETG spectra often do not require a background. (Again, order sorting of the spectra often ensures that the background is negligible.)


History

01 Apr 2009 new for Sherpa 4.1
11 Jan 2010 updated for CIAO 4.2
13 Jul 2010 updated for CIAO 4.2 Sherpa v2: removal of S-Lang version of thread.
22 Jan 2012 reviewed for CIAO 4.4 (no changes)
13 Dec 2012 updated for CIAO 4.5: group commands no longer clear the existing data filter
10 Dec 2013 updated for CIAO 4.6: updated fit results and screen output
27 Feb 2015 updated for CIAO 4.7, no content change
14 Dec 2015 updated for CIAO 4.8, no content change
10 Nov 2016 updated for CIAO 4.9, no content change, updated fit results.
30 May 2018 updated for CIAO 4.10, no content change
11 Dec 2018 reviewed for CIAO 4.11, revised screen output
13 Dec 2019 Updated for CIAO 4.12: use Matplotlib rather than ChIPS for plotting; updated the code in several places to take advantage of Python capabilities (e.g. looping over variables rather than manually typing values).
22 Dec 2020 Updated for CIAO 4.13: adjusting the thread to change when the MEG data was removed and the details of the filtering and grouping; make use of changes to the plot support in CIAO 4.13; add examples of plot_model_component; and simplify the flux calculation by taking advantage of the model parameter added in Sherpa 4.12.1.
30 Mar 2022 reviewed for CIAO 4.14, revised screen output
08 Dec 2022 updated for CIAO 4.15, typos fixed.
26 May 2023 added an example using the error argument in eqwidth to provide the 1σ lower- and upper-bounds on the median equivalent width from a set of MCMC model draws.
30 May 2023 added information on identifying TG_M and TG_PART columns to determine PHA2 rows to use and a note of re-grouping spectra with a different scheme if already grouped.
28 Nov 2023 updated for CIAO 4.16, typos fixed.
16 Dec 2024 updated for CIAO 4.17, residual plots revised and omit use of inverted tabStops mask for grouping with improvements in the grouping library.
03 Dec 2025 updated for CIAO 4.18; explicitly set responses for the background spectra and revised fit results.
13 Feb 2026 make use of multi-ID over plotting (FAQ: How can I include multiple datasets in the same plot?); omit explicit use of convolving response to model component in plot_model_component since it is no longer required.