How can I plot the ungrouped fitted source model on my grouped data?
When a grouped data set is fit in Sherpa, the plot_fit command plots the grouped source model overlaid on the grouped data. In order to plot the full resolution source model on the grouped data, use the plot_model command, which always plots the ungrouped source model.
For example:
sherpa> plot_fit(xlog=True, ylog=True) sherpa> plot_model(alpha=0.6, overplot=True)
creates a plot like Figure 1.
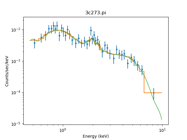
Showing the ungrouped model
![[The green line shows a similar shape to the orange line but it includes higher-frequency components]](pha_model_plot.png)
![[Print media version: The green line shows a similar shape to the orange line but it includes higher-frequency components]](pha_model_plot.png)
Showing the ungrouped model
The data (blue points) has been grouped to improve the signal-to-noise, and the orange line shows the model fit using this grouping scheme (created by plot_fit). The model evaluated on the instrument response by plot_model is shown as the green partially-opaque line.