How can I adjust multiple plots with matplotlib?
Once multiple plots have been created thet can be adjusted using Matplotlib. For example, the vertical spacing between two plots can be adjusted
sherpa> plot("data", 1, "data", 2)
sherpa> plt.subplots_adjust(hspace=0.5)
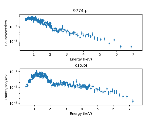
Increasing the vertical space between the plots
![[Two plots arranged vertically where the title of the bottom plot does not overlap the X-axis label of the top plot.]](plot_multi.data.gap.png)
![[Print media version: Two plots arranged vertically where the title of the bottom plot does not overlap the X-axis label of the top plot.]](plot_multi.data.gap.png)
Increasing the vertical space between the plots
If more than two plots are created then multiple columns will be used:
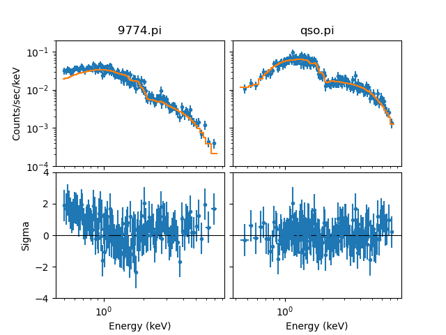
sherpa> plot('fit', 1, 'fit', 2, 'delchi', 1, 'delchi', 2)
sherpa> fig = plt.gcf()
sherpa> for i in [0, 1]:
...: fig.axes[i].xaxis.label.set_visible(False)
...: fig.axes[i].xaxis.set_ticklabels([])
...: fig.axes[i].set_ylim(1e-4, 2e-1)
...:
sherpa> for i in [2, 3]:
...: fig.axes[i].title.set_visible(False)
...: fig.axes[i].set_ylim(-4, 4)
...:
sherpa> for i in [1, 3]:
...: fig.axes[i].yaxis.label.set_visible(False)
...: fig.axes[i].yaxis.set_ticklabels([])
...:
sherpa> plt.subplots_adjust(hspace=0.05, wspace=0.05)
Adjusted plot
![[The horizontal and vertical space between the plots has been removed (except for a small amount to make the tick marks still visible), and the labels that were in this space have gone. The Y axes of the top row of plots is now the same, as is the bottom row (although each row has different ranges).]](plot_multi.all.adjusted.png)
![[Print media version: The horizontal and vertical space between the plots has been removed (except for a small amount to make the tick marks still visible), and the labels that were in this space have gone. The Y axes of the top row of plots is now the same, as is the bottom row (although each row has different ranges).]](plot_multi.all.adjusted.png)