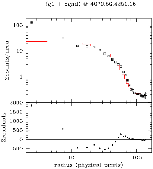
Image 8: Radial profile of the best-fit model using: g1+bgnd
The radial profile of the best-fitting gaussian plus constant model
shows the core excess emission obvious in the
residual image of this fit
.
The model over-predicts the data (at radii between
10 and 50 pixels) and under-predicts at larger radii. This could
be due to the non-gaussian nature of the emission (the correlated
regions seen at large radii in the residual image) or it
may be due to the core region biasing the fit parameters of the
gaussian model.
![[Image 8: Radial profile of the best-fit model using: g1+bgnd]](initial-fit-rprof.gif)
The plot_rprofd() function can be used to display the residuals in units of "sigma" - i.e. the residuals divided by the error - rather than counts, which can often be useful.
