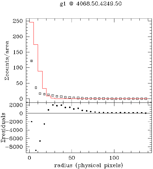
Image 5: Radial profile of the initial parameter values
The top plot shows the radial profile of the data (squares) and current model (red line). The bottom plot shows the radial profile of the residual image. The plot was created using the plot_rprofr() function. It shows that the initial guesses made by Sherpa for the parameter values do not describe the data very well.
![[Image 5: Radial profile of the initial parameter values]](initial-rprof.gif)
