About Chandra Archive Proposer Instruments & Calibration Newsletters Data Analysis HelpDesk Calibration Database NASA Archives & Centers Chandra Science Links

LETG Higher Order Efficiency Calibration

August 2004

This work has been superseded by a newer calibration.


The analysis described here was used to derive grating efficiencies for version N0005 (Jul 2004), included in CALDB 2.28 (released Aug 2004). Because the HRC-S has effectively no energy resolution, reliable higher-order grating efficiencies are critical for accurate analysis of LETG/HRC-S spectra, as described in the Creating Higher-order Responses for HRC-S/LETG Spectra CIAO thread. Our calibration focused on orders m=2-7. Improving the calibration of orders beyond m=7 was deemed unnecessary (and becomes increasingly difficult) because the combined effective area of those orders is at most a few to several percent of the 1st order EA (with even smaller uncertainties) unless most of the source's emission is between 6 and 17 Å, in which case an observer would almost certainly want to use the HETG/ACIS-S instead of the LETG/HRC-S.

Absolute grating efficiencies were measured during ground calibration at the MSFC X-Ray Calibration Facility (XRCF) during 1996-97, but sampling of higher orders (m=2,3,4,...) was necessarily limited. Results from that calibration (see Figure below), however, suggested that theoretical model efficiencies, which were largely based on infrared measurements of grating parameters, could be improved. Further calibration of a sample of non-flight LETG grating facets at the Panter facility led to modification of the 2nd and 3rd order efficiencies, which were incorporated into the N0004 (Jan 2001) version of grating efficiencies.

Results from XRCF Electron Impact Point Source calibration. Model grating efficiencies (smooth curves) are from version N004.

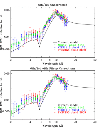
Energy sampling was still limited, however, which is a particular concern between about 5-10 Å where grating efficiencies vary rapidly with energy. We therefore analyzed flight LETG/ACIS-S data from bright continuum sources in order to determine higher-order grating efficiencies relative to the 1st-order efficiency, which is accurate to within 10%. The details of an early version of that analysis are described in a SPIE paper (pdf, ps.gz). The analysis results presented here incorporate all the proposed improvements listed in that paper, of which the most important are:

In the plots below, measured relative efficiencies (before and after pileup corrections) are compared with relative efficiencies computed from N0004 CALDB files. As can be seen, the odd orders look pretty good, but there are significant differences between measurement and model for the even orders.

At long wavelengths (especially for 2nd order), systematic uncertainties (in ACIS QEs and spectral fitting errors) become large; those results should be viewed sceptically. Because the grating bars become opaque beyond 15-20 Angstroms, grating efficiencies remain approximately constant, and we can safely extrapolate results to longer wavelengths.

In the last set of figures, the ratios of measured versus model values are plotted, along with smooth curves used to approximate the correction factors (i.e., the N0005/N0004 ratios). The relative 3rd-order efficiencies were deemed good enough to leave unchanged. Deviations from the current model are likely due to remaining errors in the ACIS QEs and other systematic errors, particularly near the Al-K, Si-K, and Au-M edges. The correction-factor curves were then used to scale the old (N004) higher-order grating efficiencies and create the new efficiencies that were released as version N0005 in CALDB 2.28 in August 2004.




Last modified: 04/15/11



The Chandra X-Ray Center (CXC) is operated for NASA by the Smithsonian Astrophysical Observatory.
60 Garden Street, Cambridge, MA 02138 USA.    Email: cxcweb@head.cfa.harvard.edu
Smithsonian Institution, Copyright © 1998-2004. All rights reserved.